


Vom Dimmer-Summen und Brummen
und die Drossel
Der Phasenanschnittsdimmer ist der am meisten verbreiteste Dimmertyp. Aber der Phasenanschnitt bereitet massive Probleme. Heute werden meist Dimmer gebaut, die mithilfe moderner Halbleiter die natürliche Sinusform der Versorgungsspannung beschneiden. Schwenken wir einmal kurz in den Tonbereich. Wenn wir eine reine Sinusschwingung hören, ist dies ein sehr dominanter klarer Ton. Wird diese Spannungs-Form verändert, indem man z.B. an einen Musikverstärker die Lautstärke zu weit aufdreht, also die Amplitude des Musiksignals nicht mehr im Spannungsbereich der Verstärkertransistoren liegt, wird das Signal nach oben hin beschnitten und verliert die reine Sinusform. Der Ton ist nun nur noch verzehrt zu hören, was bedeutet das man neben den Grundton noch etliche andere Töne hört, die über dem Grundton liegen
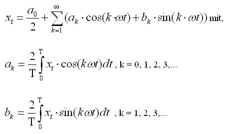
Fourieranalyse
Auch bei unserem Dimmer ist, mit dem Zuschalten der Versorgungsspannung zu einem Zeitpunkt x, das Sinussignal verändert. Durch den Anschnitt der Phase entsteht eine neue Kurvenform. Zum Glück lässt sich mithilfe der Fourieranalyse jede x beliebige Kurvenform in Anteile verschiedener Sinus- und Cosinus- Schwingungen beschreiben
Die Fourieramplituden geben an, wie stark die einzelnen Frequenzanteile in der periodischen Funktion x(t) vertreten sind.
k = 1: Grundschwingung (erste Harmonische)
k = 2: erste Oberschwingung (zweite Harmonische)
k = 3: zweite Oberschwingung (dritte Harmonische)

Eine beliebige Kurvenform, hier am Beispiel eines Phasenanschnitts, ist die Summe von einer bestimmten Anzahl aus Sinus und Cosinus Grundschwingungen verschiedener Frequenzen. (3)

Messdiagramm einer Fourieranalyse im Paktischen Vergleich zwischen Phasenanschnitt (blaue Kurve) und einem anderen System (grüne Kurve). Dabei wird deutlich das der Phasenanschnitt viel stärkere harmonische Oberwellen entwickelt und deshalb auch stärker stören wird. (5)
Deshalb hören wir bei einem Phasenanschnittsdimmer auch nicht einen tiefen Grundton von 50 Hz sondern ein Summen, das je nach prozentualer Ansteuerung auch noch den Klang verändert. Betrachtet man sich die resultierenden Grundfrequenzen, so fällt einem auf, das Sie ein vielfaches der Grundfrequenz betragen. Man spricht dabei von Harmonischen. Der Faktor wie viel Mal die Frequenz höher als die Grundschwingung ist wird als Zahlenwert ausgedrückt. So sind bei einem Phasenanschnitt insbesondere die 3. Harmonische für starke Belastung verantwortlich aber auch die 5. und 7. harmonische Frequenz zeichnen sich für das Summen verantwortlich. Aber warum hören wir diese Obertöne in der meist ebenfalls vorhandenen PA einmal nicht, und einmal unakzeptabel laut?
Tonstörung
Der Stromfluss erzeugt um sich ein Magnetfeld wie auch ein elektrisches Feld. Um den Scheinwerfer mit dem gedimmten Strom zu versorgen, werden Zuleitungen benötigt. Die Oberwellen strahlen nun über die Lastleitungen, ähnlich einer Antenne elektromagnetische Strahlungen ab. Dabei können bei umliegende elektronische Geräte und deren Signalleitungen diese Felder induziert werden. Dabei hängt die Störstrahlung von verschiedenen Faktoren wie die Lastleitungslänge, der Stromfluss durch die angeschlossenen Last sowie dem schnellen di/dt bzw. der Filterqualität des Dimmers ab.
Dabei wird oft das Summen der Dimmer in der Tonanlage als Beweis für schlechte Dimmer angeführt. Dies ist leider eine trügerische Pauschalierung. Denn die Abstrahlungen von Dimmern und den Lastkabeln, wird einmal mehr, einmal weniger gut von der Tonanlage empfangen und verstärkt. Dabei ist zu unterscheiden zwischen Netzrückwirkungen, insbesondere bei Dimmern die an dieselben Phase der Tonanlage nahe am Verbraucher angeschlossen sind und der Störstrahlung, die durch das Lastkabel das nahe an Tonkabeln geführt ist. Die Auswirkungen des Summens ist wesentlich stärker abhängig welche Übertragung bei der Tonanlage vorherrscht wie z.B. abgeschirmte symmetrische Übertragung oder gar unabgeschirmt asymmetrische Übertragung, anstatt der Filterqualität der Dimmer. Erst wenn die Tonanlage "perfekt" aufgebaut ist, kann man durch noch höhere Filterqualitäten einen besseren Störspannungsabstand erreichen. Von künstlerisch aufgebauten Brummschleifen der Tonanlage einmal völlig abgesehen.
a) asymmetrischer Aufbau mit Brummschleife b) symmetrischer Aufbau ohne Brummschleife

a) Asymmetrischer - Störungen wirken sich aus b) symmetrischer Aufbau - ein Dimmer mit normaler Störabstrahlung ist für ordnungsgemäße Tonanlagen kein Problem.
Alle Dimmerzuleitungen sollten, um Schleifen zu vermeiden, als sternförmige Kabelinstallation verlegt werden. Eine möglichst frühzeitige getrennte Stromversorgung Lichtanlage - Tonanlage ist ebenso empfehlenswert. Innerhalb der Leuchten sollten die gesteuerte Phase und der Rückleiter so eng wie möglich zusammenliegen, da die gegensätzliche Stromrichtung auch gegensätzliche Felder induziert. Sind beide Leitungen eng beieinander heben sich die Felder stärker auf als wenn Sie räumlich entfernt liegen. Dann wird nämlich eine größere Entfernungen mit dem Störfeld bestrahlt.
Der Schutzleiter (PE) am Scheinwerfer soll mit den übrigen Leitungen bis zur Verteilung geführt und dort geerdet werden.
Mögliche Mikrofon-, Video- oder Rechner (LAN)-Kabel sollen separat verlegt werden und nicht weniger als 20 cm vom Dimmerkabel entfernt sein. Kreuzungen sollten grundsätzlich im rechten Winkel erfolgen. Bei induktive Hörgerätschleifen sollten die Dimmerkabel - bei einem Abstand größer 3 m - in eisernen Installationsrohren oder geschlossenen Stahblechkabelrinnen verlegt werden.
Zugegeben, bei einer ordentlich aufgebauten Tonanlage ist kein Dimmer zu hören, dennoch ist der Dimmer eine mehr oder weniger große "Dreckschleuder", was niederfrequenten Störungen KHz Frequenzbereich betrifft, was sich hauptsächlich auf Mikrofon- und Audiosystemen auswirkt. Aber Oberwellen haben noch weitere Geräuschbingenende Effekte wie z.B. das Lampensingen.
Lampensingen
Die Geräuschentwicklung von Halogenleuchtmitteln (Lampensingen) welches insbesondere bei einem PAR 64 in Kombination mit einem schlecht entstörten Phasenanschnittsdimmer bei 30% Ansteuerung deutlich zu hören ist, ist die Folge des veränderten Stromverlaufes. Da die Kurvenform je nach Phasenanschnitt sich verändert und damit auch die die Ampltidenverhältnisse der beteiligten Oberwellen, ist es nicht verwunderlich, das beim Ändern der Prozentwerte auch der Singsang des Leuchtmittels seinen Klang verändert. Spätestes bei 100%, also der reinen Sinusform ist der "Gesang" verstummt, da dann auch keine höhere Frequenzen mehr emittiert werden. Die Geräuschentwicklung basiert darauf, das ein Stromfluss in jedem Leiter ein magnetisches Feld verursacht. Bei einem Leuchtmittel mit einem gestaucht gewickelten Draht - die Wendel - beeinflussen die Felder der gegenüberliegenden Drahtabschnitte sich gegenseitig und stoßen sich ab oder ziehen sich an.
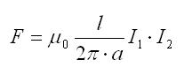
Kraftwirkung auf stromdurchflossene Leiter
mit
F = Kraft (N oder kg m / s²)
µ = Magnetische Feldkonstante (Vs/(Am))
l = Länge (m)
I1 Stomstärke im Leiter 1 (A)
I2 Stomstärke im Leiter 2 (A)
a = Abstand (m)
Kraftwirkung auf stromdurchflossene Leiter gelten natürlich auch auf die Wedel eines Leuchtmittels.
Durch die Art der Wendelaufhängung ist so eine Variation der mechanische Bewegung und damit ein Emittieren von Schallwellen, möglich. Deshalb ist es auch nicht verwunderlich das z.B. starke Niedervolt Scheinwerfer Ihren charakteristisches Aufdimmsummen erzeugen, währen z.B. ein Source Four PAR beim gleichen Dimmer kaum zu hören ist.
Demnach müsste die Lebensdauer des Leuchtmittels geringer als die Herstellerangaben sein, da durch den Phasenanschnitt verursachten Bewegung auch das Leuchtmittel mechanisch unter ständigen "Stress" steht. Dem steht aber, weil gedimmt, eine geringerer Leistung und Temperatur des Leuchtmittels gegenüber, wodurch die Lebensdauer beachtlich zunimmt. Bleibt die Schlussfolgerung, dass bei Einsatz von nicht Phasen anschneidenden Systemen wie z.B. Sinusdimmer oder Phasenabschnittsdimmer, die kein Lampensingen verursachen, die mittlere Lebensdauer durch den Dimmbetrieb noch erhöht wird.
Nicht nur für Fernsehstudios ist das Lampensingen bei gleichzeitiger Tonaufnahme ein Problem. Mit Hilfe eines entsprechender Filter entschärft man die hohen Oberwellen, sodass das Lampensingen beim Phasenanschnittsdimmer minimiert wird. Nebenbei bemerkt, dieselben Kräfte sind auch die Ursache, weshalb man im Dimmerraum den Dimmer selber "arbeiten" hört, da meist die eingebauten Drosselspulen ebenfalls in Bewegung und damit Luftbewegungen verursacht werden.
Stromanstieg glätten
Es gilt die Kurvenform des Stromes so zu glätten, so das der Stromverlauf möglichst weich ansteigt, um damit die hohen Amplitudenwerte der harmonischen Oberwellen zu bekämpfen. Um nun einen Vergleich zwischen verschiedenen Filterqualitäten zu haben, misst man das Verschleifen des Stromes in Mikrosekunden µsek. Und leitet damit die Filterqualität ab. Typische Messdistanz ist zwischen 10% und 90% der Amplitude, und sollte mit dem Wert auch angegeben werden. Die Qualität der Entstörung hängt aber nicht nur von der "Verschleifzeit" selbst ab, sondern auch wie stark die Flanken bei den Übergängen harmonisch gerundet übergehen oder ein buckliger Übergang bleibt. So gesehen sind die Filterzeiten zwar ein Richtwert, aber ein Vergleich mit den Ohren kann augenscheinlich gute Werte einfacher Spule gegenüber schlechteren Werten bei hochwertigen Spulen doch relativieren.


Die Verschleifzeit, eine Stromperiode und die Oberwellen bei 2,5KW Last am 3KW Dimmer (6)


Die Verschleifzeit, eine Stromperiode und die Oberwellen bei 1KW Last am 3KW Dimmer (6)
Aus dem zweiten Bild wird deutlich das auch die angeschlossenen Last eine Rolle spielt. Der Unterschied der Störwirkung bei gleicher Spule mit unterschiedlicher Last zweigt das die Glättung nicht mehr so gut, wie bei Volllast ist. Deshalb macht es durchaus Sinn auch kleine Dimmereinheiten für ca. 1,5 KW Maximallast bereitzuhalten, wenn man eine gute Entstörung auch für 1 ,2 KW Scheinwerfer benötigt.
Spulen Drossel Filter
Doch zunächst was macht die Spule oder Drossel oder Filter oder Induktivität oder Siebung, um nur einige der Bezeichnungen zu nennen, und wie ist sie aufgebaut?
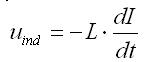
Damit ein Strom bei einer anliegender Spannung nicht sofort in die Höhe schnellt ist eine Gegenspannung von Nöten. Diese Gegenspannung erzeugt sich selber in einem elektrischen Leiter der als Spule geformt ist und somit ein konzentriertes Magnetfeld aufbaut. Nach dem plötzlichen Einschalten der Spannung durch den Phasenanschnitt wird in der Spule durch den beginnenden Stromfluss ein Magnetfeld aufgebaut. Diese Feldänderung ruft eine Selbstinduktionsspannung hervor, die der anliegenden Spannung entgegenwirkt. Je höher die Stromänderung ist (dI/dt) um so größer ist das erzeugt Magnetfeld und um so größer ist die Gegenspannung. Damit wird das schnelle Ansteigen des Stromes und der Aufbau des Feldes verzögert. Daher auch die Eselsbrücke - das bei Induktivitäten sich die Ströme verspäten.
mit
uind = induzierte Spannung (V)
L = Induktivität (H =Vs / A)
dt = infinitesimales Zeitintervall (s)
dI = Änderung der Stromstärke (A)
a) Selbstinduktion einer Spule verzögert den Stromanstieg.
b) Magnetische Kreis
Die Induktivität wiederum ist abhängig vom Quadrat der Windungszahl und dem magnetischen Leitwert. Der magnetische Leitwert ist abhängig von der Permeabilität des magnetischen Kreises und deren Geometrie. Für Spulenkerne wird der magnetische Leitwert vom Hersteller angegeben.
Wird in das von dem Magnetfeld der Feldstärke H Materie eingebracht, so ändert sich die magnetische Flussdichte B aufgrund dem Einfluss der Elektronen im Stoff. Dies hat den Vorteil das eine Spule mit einem magnetischen Kern wesentlich effektiver arbeitet, aber den Nachteil das damit das Bauteil schwer wird, was jeder der Dimmerracks ein und ausgeladen hat beiläufig bemerkt haben wird.
Die Magnetisierung ist bei vielen Stoffen proportional zur Feldstärke H. Die anderen Stoffe sind die nichtlinearen magnetischen Werkstoffe, wovon uns die Ferromagnetika interessieren, da ihr µr deutlich größer als 1 ist.

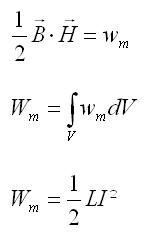
Mit der Hysteresekurve wird die Abhängigkeit B von H mit dem entsprechenden Stoff dargestellt.
Die Fläche der Hysteresekurve ist ein Maß für die Energie, die zur Ummagnetisierung notwendig ist. Die von der Hysterese eingeschlossene Fläche ist ein Maß für den Energieverlust, der in wärme abgegeben wird pro Zyklus. Die Feldenergie einer Spule ist proportional dem Quadrat des Spulenstrom.
mit
Wm = Magnetische Energie (J)
L = Induktivität (H)
I = Spulenstrom (A)
wm = magnetische Energiedichte (J/m3)
Typische Bauteile
zum Bau einer Spule.
Man unterscheidet man wiederum weichmagnetische, halbharte und hartmagnetische Werkstoffe. Für die weichmagnetischen Materialien soll Sie möglichst gering gehalten werden. Z.B. der Verlust für die eingebrachten Bleche mit ca. Dicke von 0,4 mm und 50 Hz und einem B von 1 und 65% NiFe liegen bei ca. 0,06 W / Kg. Dagegen zeichnen sich amorphe Weichmagnete durch besonders hohe Permäabilitätswerte µr bis zu 200 000 bei kleinen Koerzitivfeldstärken aus. Bei einem üblichen Phasenanschnittsdimmer bedeutet das bei einer üblichen Induktivität ein Paar Volt Spannungsverluste bei 10 A wörtlich genommen ca. 20 Watt Verlustwärme. Bei Installationen mit mehreren hundert Kreisen ist dementsprechend nicht nur der Verlust zu summieren, sondern vielmehr an eine Klimaanlage bzw. Durchlüftung des Dimmerraumes zu bedenken.Die Qualität der Spule (Induktivität) ist also abhängig von dem verwendeten magnetischen Werkstoff, der Geometrie sowie möglichen Luftspalten.
Spulenpraxis
Bei einer Stromanstiegszeit von 100 µsek oder weniger ist eine Anwendung nur für private Haushalte in Betracht zu ziehen bzw. unter 50 µsek muss sogar von einer mangelhafte Entstörung, die nur aus Platz- und Gewichtsgründen in Elektroverteilungen oder Unterputzdimmern mit geringen Leistungen Anwendung findet, gesprochen werden.
Bei einer Filterzeit von 120 - 300 µsek erreicht man eine gute Filterwirkung für Discotheken, Veranstaltungen oder Gastronomie. Oft verwendet werden Spulen mit einem Eisenkern, im Aussehen ähnlich einem Transformator.
Filterzeit von 300 µsek und mehr bietet eine hervorragende Filterwirkung für TV-Studios und überall, wo empfindliche elektronische Geräte arbeiten. Hier ist die Filterqualität so hoch, daß das Vibrieren der Glühlampen-Filamente und somit das "Singen" nachlässt. Durch Verwendung moderner Ferrit- Ringkernfilter konnte das Drossel-Gewicht verringert und die Filterleistung verbessert werden. Die Ferritfilter sind jedoch im Vergleich wesentlich teurer. Weitere Entwicklungen mi t weichmagnetisches Ferritmaterial sowie deren Sinterung den Effekt eines Luftspalt der über die gesamte Fläche hin verteilt ist darstellt, erlauben ein verändern ihrer Induktivität in Abhängigkeit der angeschlossenen Last. Während bei geringer werdender Last auch die Wirkung von Spulen nachlässt (halbe Last = halbe Entstörwirkung) bewahren diese speziellen Filter im Bereich zwischen 25% ... 100% der Nennlast die gleich bleibende, maximale Entstörwirkung (Sie ändern ihre Induktivität).
Je größer der Filter ist, um so mehr Verlustleistung und folglich Abwärme fallen an. So kann es vorkommen, dass die Kühlung der Spulen und damit die Verfügbarkeit des Bauteiles, kritisch, ist. Damit die Windungen sich wie beim Lampensingen beschrieben bewegt werden und damit Geräusche verursachen, werden sie oft in Harz eingegossen. Nachteil dabei ist Wärmeisolation des Harzes, so das die Spule ihre Abwärme nicht optimal abgeben kann.So findet man auch den Kompromiss zwischen mechanischen Halt und Temperaturabgabe in Form von halb vergossenen Spulen.

Standdardspulen im typischen M-Blechpaket für die meisten professionellen Anwendungen.

Hochwertige Spulen in Baugruppen vormontiert für empfindliche TV Anwendungen.
Historische Messtechnik
Moderne Oszilloskope besitzen die Möglichkeit eine Fourieranalyse der anliegenden Spannung zu erstellen. Aber diese Werte findet man selten in den Datenblättern. Die Angabe der "Verschleifzeit" wie bereits oben beschrieben ist dagegen oft in den Ausschreibungen zu finden. Im Laufe der Zeit sind aber auch gute Lösungsansätze in Vergessenheit geraten. Deshalb sei hier eine Methode vorgestellt, wie man die Dimmerstörung mit seinen Auswirkungen nicht hören sondern als Wert vergleichen kann. Dieser Problematik hatte man sich bereits 1960 bei der BBC angenommen und entwickelte eine Schaltung, die bis heute noch angewendet wird.
Dabei hat man festgestellt, dass die Höhe der gemessenen Spannung sich proportional zur gehörten Störung verhält. Der Spannungssprung ist bei 90° Anschnitt am größten und somit wird dort auch die größte Energieemmision zu erwarten sein. Das der Messwert auch vom Laststrom abhängt, ergeben sich folgende Richtwerte: Werte unter 15 mV bei Dimmern bis zu 5 KW und 30 mV bei 10 KW Dimmern.

Messschaltung für Vergleichszwecke zu erwartender Störungen aus den 60er Jahren.
Quellennachweis:
1) Physik für Ingenieure / Springer Verlag
2) Tabellenbuch Elektrotechnik / Friedrich
3) Elektronik iV A / Pflaum Verlag
4) Entertainment Technology / Genlyte Thomas Company, L.L.C.
5) IES BV / ETC
6) MA Lighting Technology
7) Strand Lighting
8) Lightpower
9) Betriebsgeräte und Schaltungen für elektrische Lampen /C.H. Strurm /E. Klein
10) VDE 0100 und die Praxis / Gerhard Kiefer
11) Norbert Ackermann
12) ADB
Zum Thema
Dimmer,Summen, Lampensingen, Brummen, Drossel, joke,
Herbert, Bernstädt, Herbert Bernstädt, hbernstaedt, Bernstaedt, Institut, angewandte, Veranstaltungstechnik, Phasenanschnitt, Fourieranalyse, Oberwellen, Oberschwingung, Harmonische, tonstörung, Magnetfeld, asymetrisch, symetrisch, übertragung, tonbrummen, dimmeranlage, Brumschleife, Schutzleiter, Lampensingen, Firlament, wendel, schwingung, dimmbetrieb, Spule, anstiegszeit, verschleifzeit, risetime, Spule, drossel, filter, Induktivität, magnetisch, werkstoff, Stromanstiegszeit, BBC